Gesetzliche Maßeinheiten    
Elektrizität und Magnetismus  
Christiani Einheiten-Rechner 1  
Christiani Einheiten-Rechner 2  
Mathematik  
Multiplikation  
Potenzieren  
Division  
Umformen von Gleichungen  
Gleichung mit mehreren Unbekannten  
Wichtige Punkte im Dreieck  
Sinussatz  
Periodisches Verhalten v. Winkelfunktionen
Komplexrechnung  
Logarithmische Funktion  
Wurzelgleichung  
Differenzvektor  
Einheitsvektoren  
Stereometrie  
Gerader Kreiszylinder  
Kegelstumpf  
Sechseckiger Pyramidenstumpf  
Schwerpunkt eines Halbkreises  
Geometrische Reihe  
Differentiationsregeln  
Ableitungen der Funktionen  
Nährungsweises Auflösen von Gleichungen
Nährungsverfahren nach Regula Falsi  
Die Arcusfuktionen  
Hyperbelfunktion  
Area Funktionen  
Ableitungen der Areafunktion  
Integralrechnung  
Grundintegrale 1  
Formeln  
Grundintegrale 2  
Integrationsregeln  
Elementare Substitution  
Integrale der Form 1  
Integrale der Form 2  
Integrale der Form 3  
Partielle Integration 1  
Partielle Integration 2  
Partielle Integration 3  
Integration durch Teilbruchzerlegung 1  
Integration durch Teilbruchzerlegung 2  
Fall 2  
Fall 3  
Numerische Lösung Seite 1  
Fall 3, Seite 2  
Rekursionsformeln 1  
Rekursionsformeln 2  
Rekursionsformeln 3  
Berechnung von Flächeninhalten  
Sektorformel  
Rauminhalte von Rotationsköper  
Volumen einer Parabel  
Berechnung von Bogenlängen  
Kepler-Simpson Formel  
Oberfläche von Rotationskörper  
Trägheitsmomente  
Flächenträgheitsmomente  
Schwerpunkt   
Massenträgheitsmoment - Volumen  
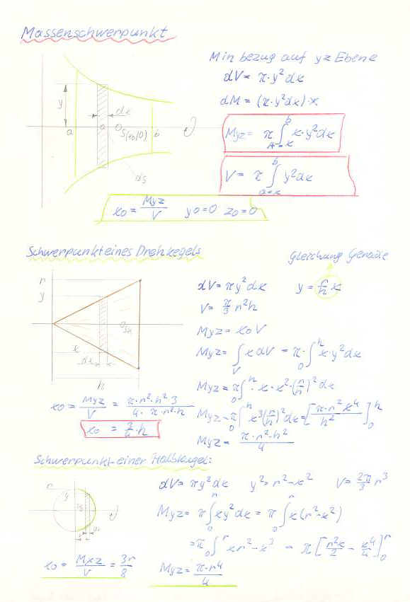
Massenschwerpunkt  
Potenzreihenentwicklung  
Binomische Reihe  
Differenzialrechnung  
Beispiele zu DG.1.O.trennbare Variable  
Gleichgradige Differenzialgl. 1.Ordnung 1  
Gleichgradige Differenzialgl. 1.Ordnung 2  
Exakte Differenzialgleichung 1  
Exakte Differenzialgleichung 2  
Lineare DG 1.Ordnung  
Beispiele (lineare DG.1.O.) Seite 1  
Beispiele (lineare DG.1.O.) Seite 2  
DG.2.0.Zurückführend auf DG.1.O. Seite 1
DG.2.0.Zurückführend auf DG.1.O. Seite 2
DG.2.0.Zurückführend auf DG.1.O. Seite 3
Lin. DG.2.O.mit konst. Koeffizienten 1  
Lin. DG.2.O.mit konst. Koeffizienten 2  
Inhom. DG.2.O. mit konst.Koeffizienten Fall 1
Inhom. DG.2.O. mit konst.Koeffizienten Fall 2
Inhom. DG.2.O. mit konst.Koeffizienten Fall 3
Differenzialgleichung Übersicht  
Fourier Reihen Seite 1  
Fourier Reihen Seite 2  
Fourier Reihen Seite 3  
Binomialkoeffizienten  
Potenzreihen  
Trigonometrische und andere Reihen  
Taylorsche Reihe  
Integraltabellen, Grundintegrale  
Integraltabellen 1  
Integraltabellen 2  
Integraltabellen 3  
Integrale mit trigometrischer Funktionen  
Integrale mit Hyperbelfunktionen  
Integrale mit Umkehrfunktionen  
Exponentialinterale, bestimmte Integrale  
Physik  
Drehzahl  
Druck  
physisches Pendel  
Optik  
Spiegelverdrehung  
Totalreflexion  
Bildkonstruktion  
Kapazität  
elektr. Verschiebungsstromdichte  
Wechselstrom  
Linearer Mittelwert  
 Addition 2 Spannungen  
Scheinwiderstand  
Reihenschaltung von R.u.L.  
Parallelschaltung von R.u.L.  
Gleichungskreis  
Formeln GE 3  
Prg Taschenrechner 1  
Prg Taschenrechner 2  
Ortskurven  
Schwingkreise  
Parallelresonanz  
Parallelschwingkreis  
Reihenschwingkreis  
Sternschaltung  
Drehstrom  
Drehstromleistung b. unsymtr.Belastung  
Dreieckschaltung  
Elektrische Anlagen  
zweiseitig gespeiste Leitung  
Verzweigte Leitung  
Graphische Lösung  
Niederspannungsanlagen  
Blanke Leiter  
Schaltgeräte  
Konstruktion eines Schalters  
Schütz  
Meldegeräte  
Installationstechnik  
Starkstrom-Verbrauchsgeräte  
Installationsausführung  
Schutzmaßnahmen  
Schutzisolierung  
Wirkung  Sicherungsautomat  
Schutzmaßnahmen m. Schutzleiter  
Schutzerde  
Nullung  
Schutzleitersystem  
Blitzschutzanlagen  
Wirkung des Blitzes  
Ausführung v.Blitzschutzanlagen  
Belastungslinderung  
Typen- u.Kurzzeichenerläuterung  
Elektrische Maschinen  
Wärmeleitung durch ebene Wände  
Thermische Zeitkonstante  
Erforderliche Kühlmittelmenge  
Elektrische Kontakte  
Wechselstromlichtbogen  
Aufschalten einer Gleichspannung  
Eisendrosselspule  
Bauformen elektr. Maschinen  
andere Aufstellungshöhen  
Extrapolation  
Elektr. Messtechnik  
Messnormalien  
Bauelemente  
Drehspulmesswerk  
Vielfachmessinstrumente  
Drehmagnetmesswerk  
Elektr. Dynamisches Messwerk  
Thermoelemente  
Gleichstrommesswerk  
Whetsonsche Messbrücke  
Isolationsmessung  
Fehlerortbestimmung  
Bestimmen von Leiterschluss  
Elektrovoltmessung  
Wechselstrommessungen  
Induktivitätsmessung  
Strom- Spannungsmethode  
Blindleistungsmessung  
Drehstromblindleistung mit Wattmeter  
Leistungsmessung  
Zweiwattmetermethode  
Leistungsfaktormessung  
Elektrizitätszähler  
Fortsetzung Elektrizitätszähler  
Hilfsanlaufvorrichtung  
Zählereichung  
Stromwandler  
Spannungswandler  
Indirekte einphasige Leistungsmessung  
Mechanik 1  
Mechanik 2  
Reibung 1  
Reibung 2  
Reibung 3  
Dynamik  
Horizontaler/Schräger Wurf  
Kinetik 1  
Kinetik 2  
Prinzip von d'Alambert  
Arbeit  
Leistung  
Drehbewegung  
Hydromechanik  
Auftrieb u. Schwimmen  
Hydraulik  
Wärmelehre 1  
Wärmelehre 2  
Arbeit u. Wärme  
Wärmedichtes/-durchlässiges System  
Hauptsatz d.Wärmelehre  
Maschinenelemente  
Bolzenverbindung  
Radialfaktor X, Axialfaktor Y  
Keilriemen/-scheiben  
Schmalkeilriemen  
Keilriemen  
Trägheits-/Widerstandsmoment  
Klemmverbindung  
Berechnungsgrundlagen Gleitlager  
gekreuzter Riementrieb  
Keilriemen  
Schweißen  
Rohrherstellung  
Nahtlose/Gewalzte Rohre  
Spanende Formgebung  
Werkzeugmaschinen